• Предмет: Геометрия
  • Автор: nikitabuturlimov
  • Вопрос задан 2 года назад

Помогите !!!!!!!!! Надо Зарнее От души СПАСИБО

Приложения:

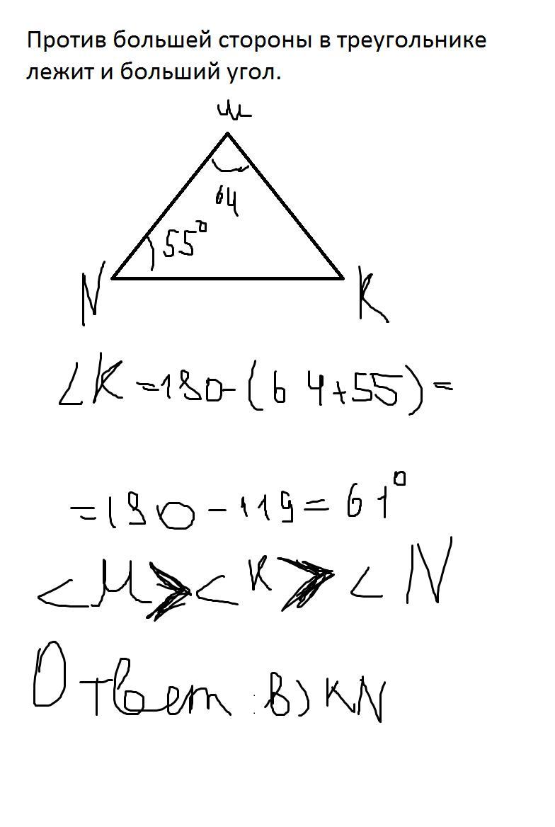
Аноним: Напротив наибольшего угла находится наибольшая сторона. То есть ответ В, KN
nikitabuturlimov: Спасибо большое
Аноним: Пожалуйста
TequilaSunrise: NK
Аноним: Без разницы

Ответы

Ответ дал: matematikL
1

Ответ:

Объяснение:

вот и все

Приложения:
Вас заинтересует