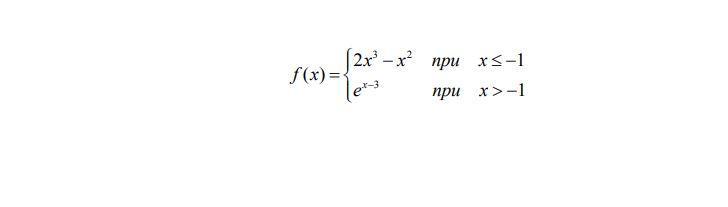
Написать программу в паскале, которая вычисляет и
выводит на экран в виде таблицы значения функции f (x) на отрезке [-3;1] с шагом 0.5
Приложения:
Ответы
Ответ дал:
1
begin
var n := Trunc((1 - (-3)) / 0.5);
for var i := 0 to n do
begin
var x := -3 + 0.5 * i;
Write(x:4:1);
if x <= -1 then
Writeln(2 * x ** 3 - x * x:16:9)
else
Writeln(Exp(x-3):16:9);
end
end.
Приложения:
Вас заинтересует
2 года назад
2 года назад
2 года назад
2 года назад
3 года назад