• Предмет: Математика
  • Автор: sabakakomsdfe
  • Вопрос задан 2 года назад

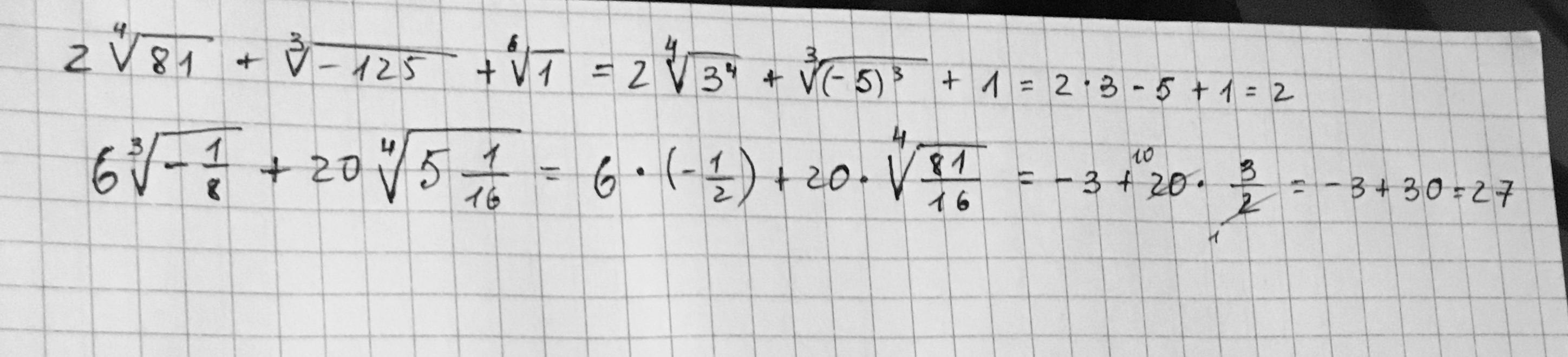
Решите пожалуйста 4 номер, прошу)

Приложения:

TorrensEmy: И если не правильно, не стесняйся ставить нарушение ;))
sabakakomsdfe: скорее всего не правильно, но ладно
sabakakomsdfe: хотя стоп
sabakakomsdfe: ответ правильный
TorrensEmy: Откуда тебе знать?:D
sabakakomsdfe: знаю
TorrensEmy: В обоих случаях правильный?
sabakakomsdfe: да
TorrensEmy: Вот и хорошо :)
sabakakomsdfe: замечательно

Ответы

Ответ дал: TorrensEmy
1

Если не ошиблась, то вроде так :D

Приложения:

sabakakomsdfe: Спасибо
TorrensEmy: Рада была помочь ;))
Вас заинтересует