• Предмет: Математика
  • Автор: Аноним
  • Вопрос задан 2 года назад

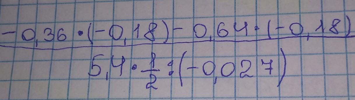
сделайте пожалуйста!!!​

Приложения:

Ответы

Ответ дал: zefirchik08
1

Ответ:

-0,0018

Пошаговое объяснение:

Вас заинтересует