• Предмет: Физика
  • Автор: андросик
  • Вопрос задан 10 лет назад

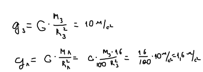
Полагая массу Луны в 100 раз меньше массы Земли, а диаметр Луны в 4 раза меньше диаметра Земли, определить ускорение свободного падения на поверхность Луны. Ответ дать в единицах СИ

Ответы

Ответ дал: albertik100
0
ответ: 1,6 м/с2 смотри в приложении решение
Приложения:
Вас заинтересует