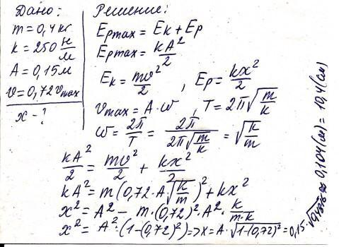
Груз массой 400 г совершает колебания на пружине жесткостью 250 Н/м, амплитуда колебаний 15 см. Найдите смещение груза
относительно положения равновесия, когда его скорость на 28% меньше максимального значения скорости.
                        
                            
                            
                    Ответы
                                            Ответ дал: 
                                                                                    
                                        
                                            
                                                
                                                
                                                
                                                    8
                                                
                                            
                                        
                                    
                                        См.На картинке!Надеюсь помог
                                    
                                                Приложения:
                     
                            Вас заинтересует
                
                        1 год назад
                    
                
                        1 год назад
                    
                
                        1 год назад
                    
                
                        3 года назад
                    
                
                        3 года назад
                    
                
                        8 лет назад