• Предмет: Алгебра
  • Автор: veterok1996Medoti
  • Вопрос задан 11 лет назад

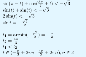
sin (п-t) + cos (3п/2+T) > -V3

Ответы

Ответ дал: MikhOm
0
.........................................................................
Приложения:
Вас заинтересует