• Предмет: Алгебра
  • Автор: feafelaktovaantonina
  • Вопрос задан 2 года назад

Помогите с полугодовой

Приложения:

Ответы

Ответ дал: Лермонтовь
0

Ответ:

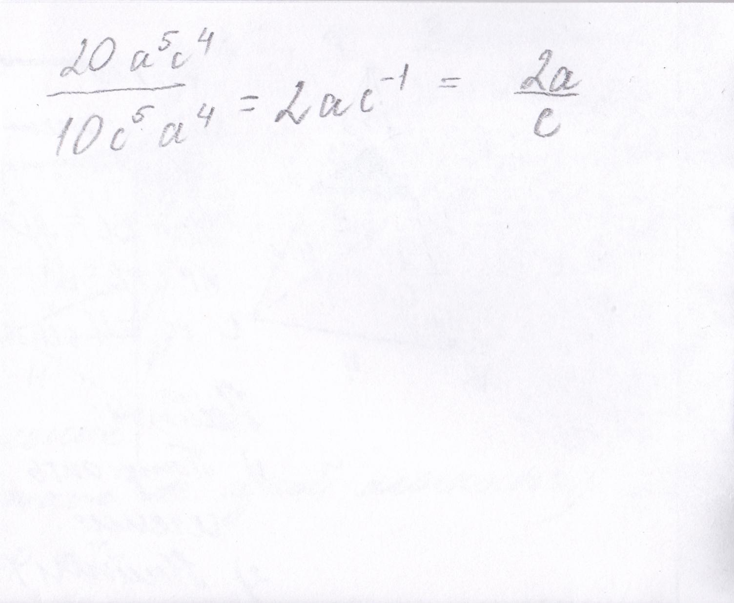
2) 2a/c.

Если есть какие-либо вопросы, то пишите.

Приложения:
Ответ дал: LuckyShow
0

Ответ:

Ответ 2, 2a/c

Объяснение:

Сокращаем 20 и 10 = 1/2

сокращаем а^5 и а^4 = а в числителе

сокращаем с^4 и с^5 = с в знаменателе

Вас заинтересует