• Предмет: Физика
  • Автор: kseniiakrasnykh
  • Вопрос задан 2 года назад

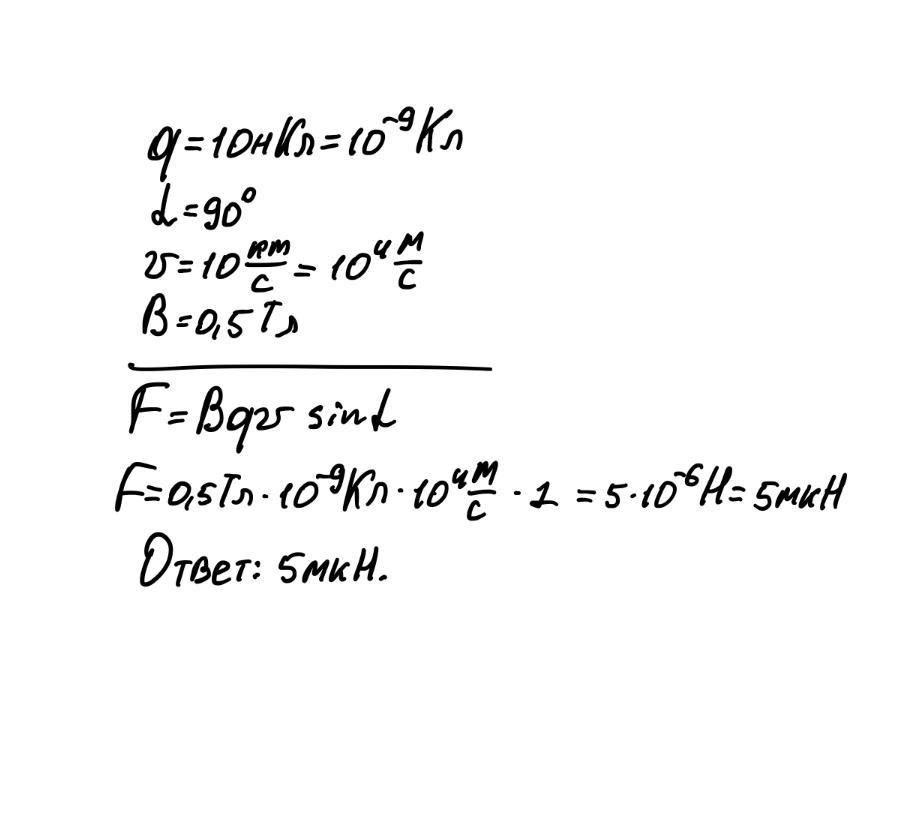
Определите модуль силы, действующей на заряд 10нКл, движущийся в однородном магнитном поле, перпендикулярно линиям индукции магнитного поля со скоростью 10км/с. Модуль индукции магнитного поля равен 0,5 Тл. Ответ дайте в мкН.

Ответы

Ответ дал: bergalium
1
5 микроньютон........
Приложения:
Вас заинтересует