• Предмет: Физика
  • Автор: dangerousgulya
  • Вопрос задан 2 года назад

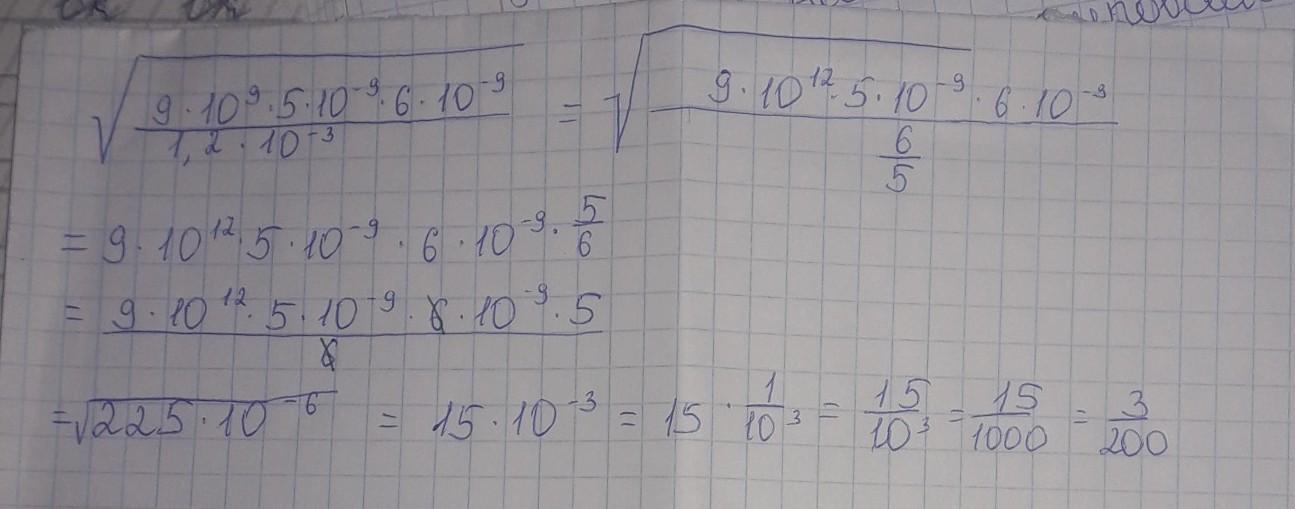
РЕБЯТА СРОЧНО ОТ ЭТОГО ЗАВИСИТ ВСЕ ОЧЕНЬ СРОЧНО ПРОШУ ВАС РЕШИТЕ НА ЛИСТОЧКЕ ЭТОТ ПРИМЕР НЕ ТРУДНЫЙ НО Я НЕ МОГУ РЕШИТЬ ДАМ МНОГО БАЛЛОВ ОЧЕНЬ БЛАГОДАРНА ПРОШУ СРОЧНО​

Приложения:

Ответы

Ответ дал: Colacola2006
1

Объяснение:

Я решала подробно, некоторые действия можешь убрать, удачи;)

Приложения:

dangerousgulya: обнимаю много раз спасибо большое
dangerousgulya: ❤️❤️❤️❤️❤️❤️❤️❤️❤️
Вас заинтересует