• Предмет: Алгебра
  • Автор: konoryukov
  • Вопрос задан 10 лет назад

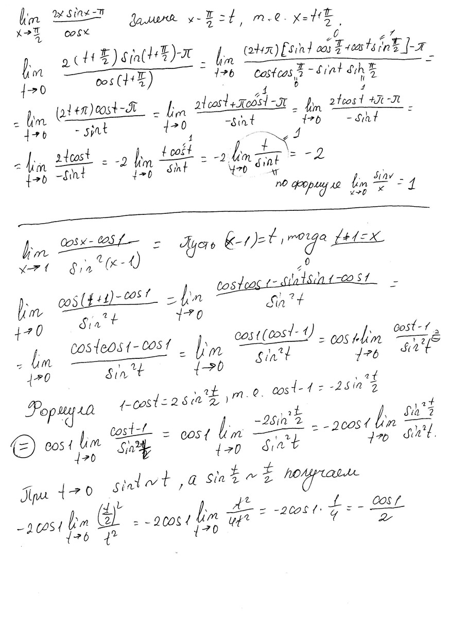
Найти пределы с помощью замены эквивалентных бесконечно малых

Приложения:

Ответы

Ответ дал: bearcab
0
Постараюсь, но нужно знание тригонометрических формул.

cos(a+b)=cosacosb-sinasinb - это во втором примере
Приложения:
Вас заинтересует