• Предмет: Алгебра
  • Автор: farincz
  • Вопрос задан 2 года назад

помогите мне пожалуйста.

Приложения:

Ответы

Ответ дал: sangers1959
1

Ответ:

Объяснение:

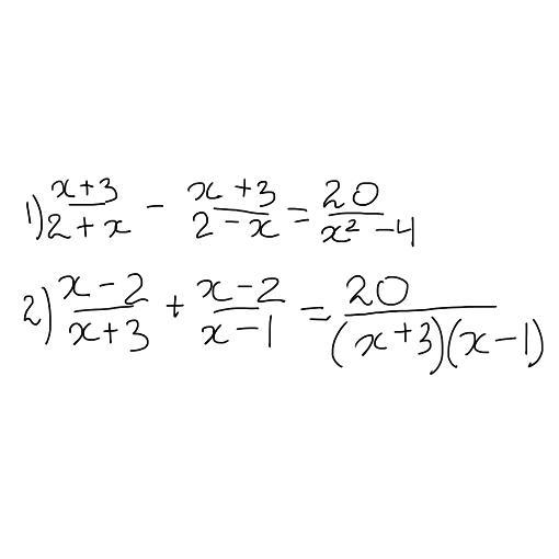
1)

(x+3)/(2+x)-(x+3)/(2-x)=20/(x²-4)

(x+3)/(x+2)+(x+3)/(x-2)=20/(x²-4)

ОДЗ:   x+2≠0   x≠-2    x-2≠0    x≠2     ⇒       x≠±2.

(x+3)*(x-2)+(x+3)*(x+2)=20

x²+x-6+x²+5x+6=20

2x²+6x=20

2x²+6x-20=0  |÷2

x²+3x-10=0   D=49    √D=7

x₁=2  ∉ОДЗ     x₂=-5 ∈ОДЗ

Ответ: x=-5.

2)

(x-2)/(x+3)+(x-2)/(x-1)=20/((x+3)(x-1)

ОДЗ: x+3≠0     x≠-3      x-1≠0       x≠1

(x-2)*(x-1)+(x-2)*(x+3)=20

x²-3x+2+x²+x-6=20

2x²-2x-4=20

2x²-2x-24=0  |÷2

x²-x-12=0   D=49    √D=7

x₁=-3 ∉ОДЗ       x₂=4  ∈ОДЗ

Ответ: x=4.


farincz: спасибо большое:3
sangers1959: Удачи.
Вас заинтересует