• Предмет: Алгебра
  • Автор: elena202017b
  • Вопрос задан 2 года назад

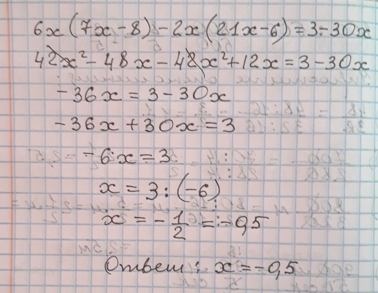
найдите корень уравнения 6х(7х-8)-2х(21х-6)=3-30х срочно​

Ответы

Ответ дал: sharofat0
8

Ответ:

Решнние ураанений.Ответ во вложении.

Приложения:

Аноним: недосчитанн...
Вас заинтересует