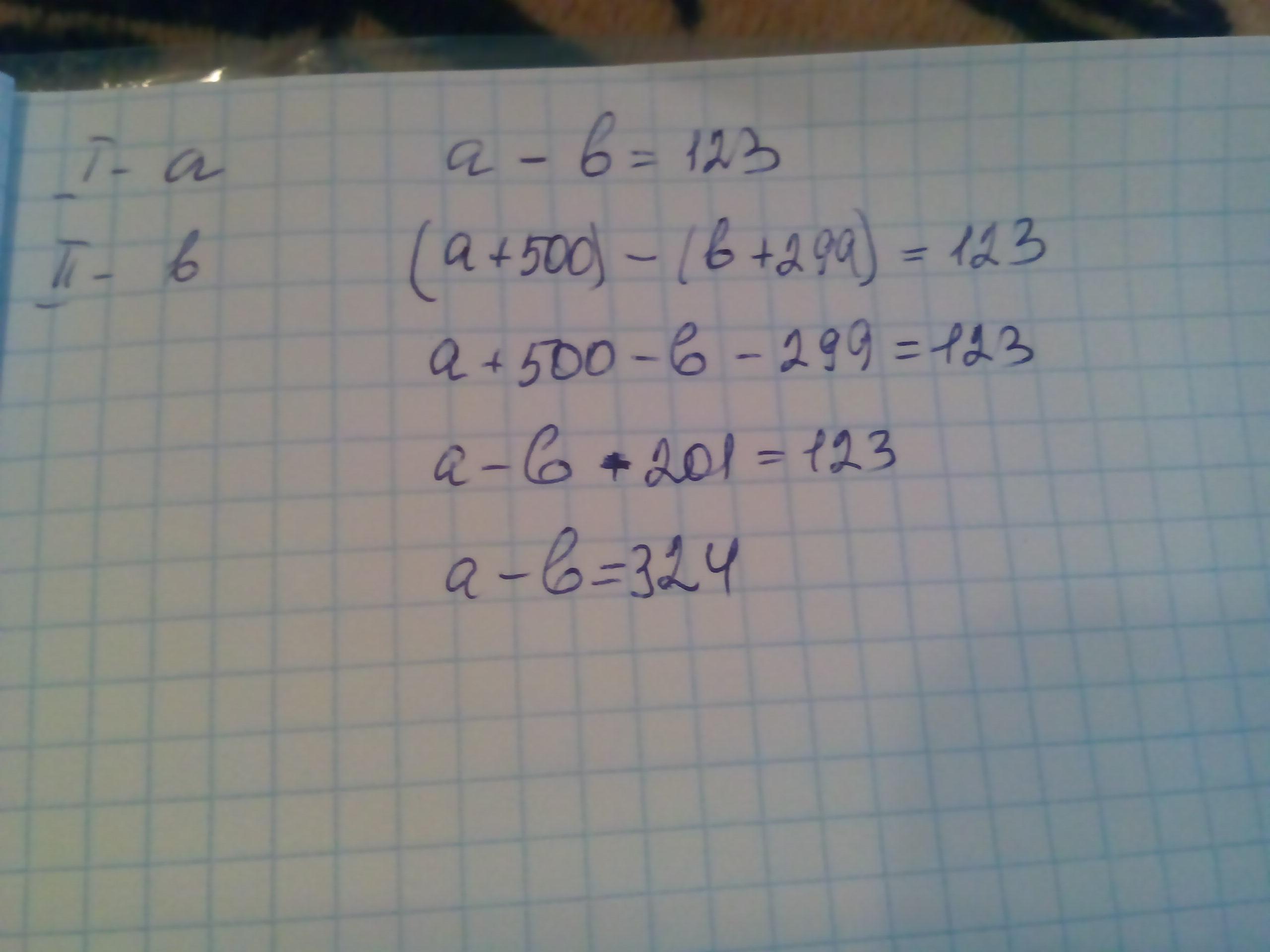
Разность двух чисел равна 123-м.Чему будет равна новая разность, если к уменьшаемому прибавить 500,а к вычитаемому 299?
Ответы
Ответ дал:
2
Ответ:
Пошаговое объяснение:
Смотрите на файле
Приложения:


Вас заинтересует
1 год назад
1 год назад
1 год назад
3 года назад
3 года назад
8 лет назад