Ответы
Ответ дал:
0
Ответ дал:
0
Не знаю как правильно нужно решение, но я думаю вот так.
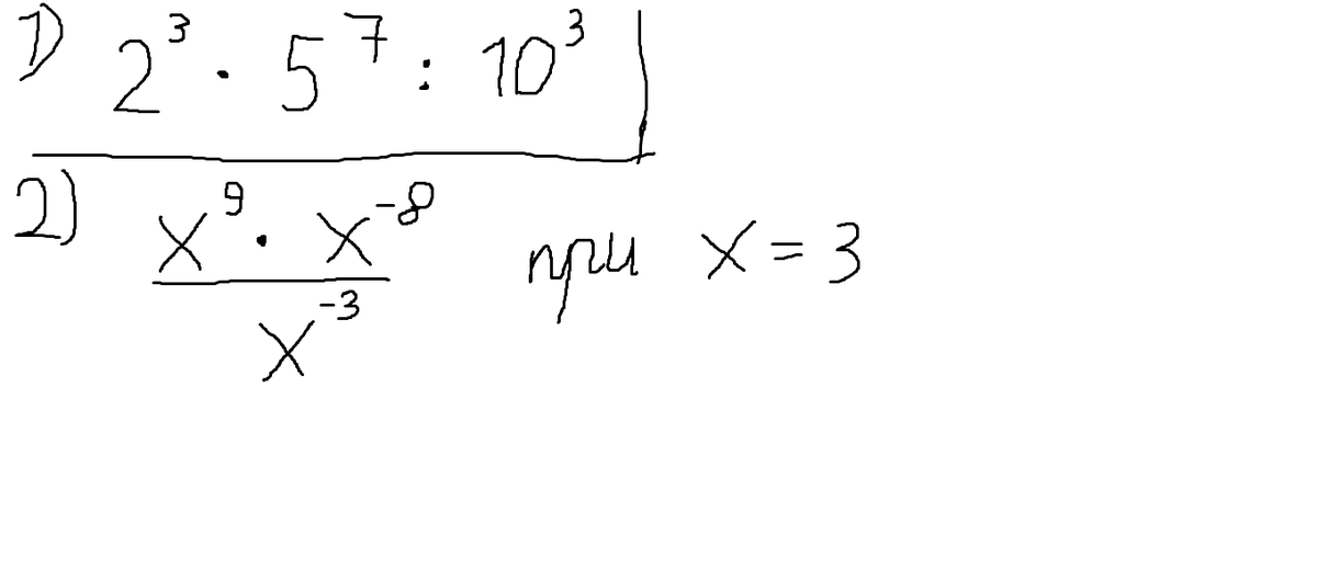
1) 2X2X2 = 8
5X5X5X5X5X5X5 = 78 125
10X10X10 = 1000
8 X 78 125 / 1000 = 625 или 5 в 4 степени
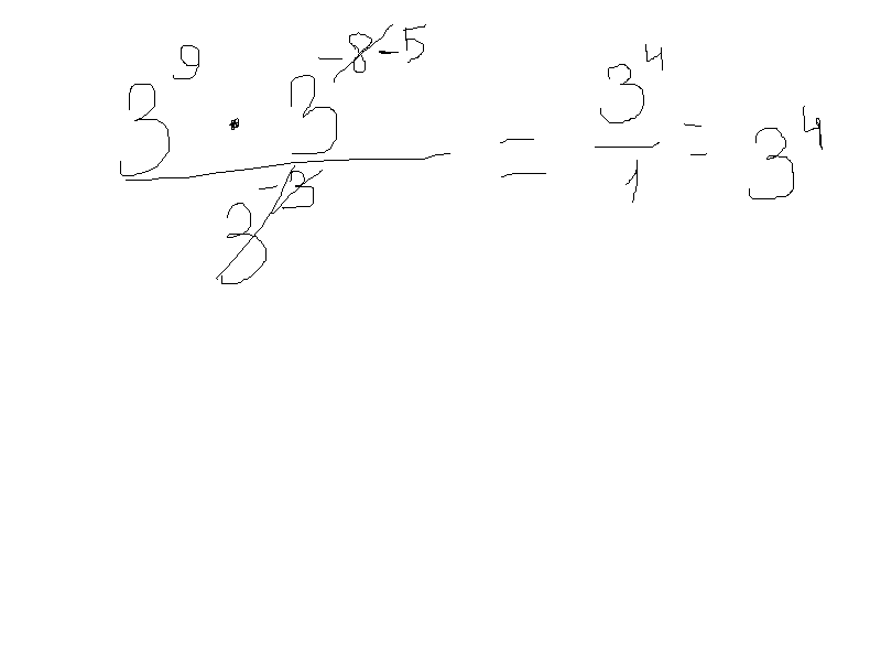
2)
1) 2X2X2 = 8
5X5X5X5X5X5X5 = 78 125
10X10X10 = 1000
8 X 78 125 / 1000 = 625 или 5 в 4 степени
2)
Приложения:

Вас заинтересует
2 года назад
2 года назад
8 лет назад
8 лет назад
10 лет назад
10 лет назад