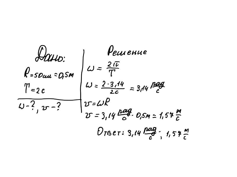
найдите угловую и линейную скорости для шкива радиусом 50см, если период вращения его равен 2 с.
Ответы
Ответ дал:
1
Ответ:все на картинке
Объяснение:
Приложения:

Вас заинтересует
1 год назад
1 год назад
1 год назад
3 года назад
3 года назад