мне срочно надо
не могу решить
мне осталось 7 мин
срооооооооооооооооооооооооооооооооооо
чно
будьте добры
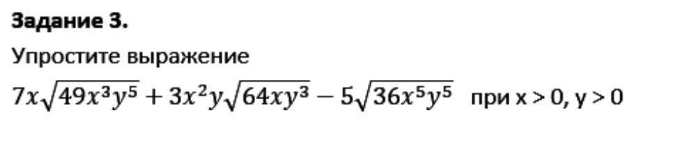
Приложения:

Ответы
Ответ дал:
0
Ответ:
-5
Объяснение:
-5
HavaKurkaeva09:
не совсем понятно
Вас заинтересует
1 год назад
1 год назад
1 год назад
3 года назад
3 года назад
8 лет назад