• Предмет: Математика
  • Автор: Аноним
  • Вопрос задан 2 года назад

выполните дейстивия


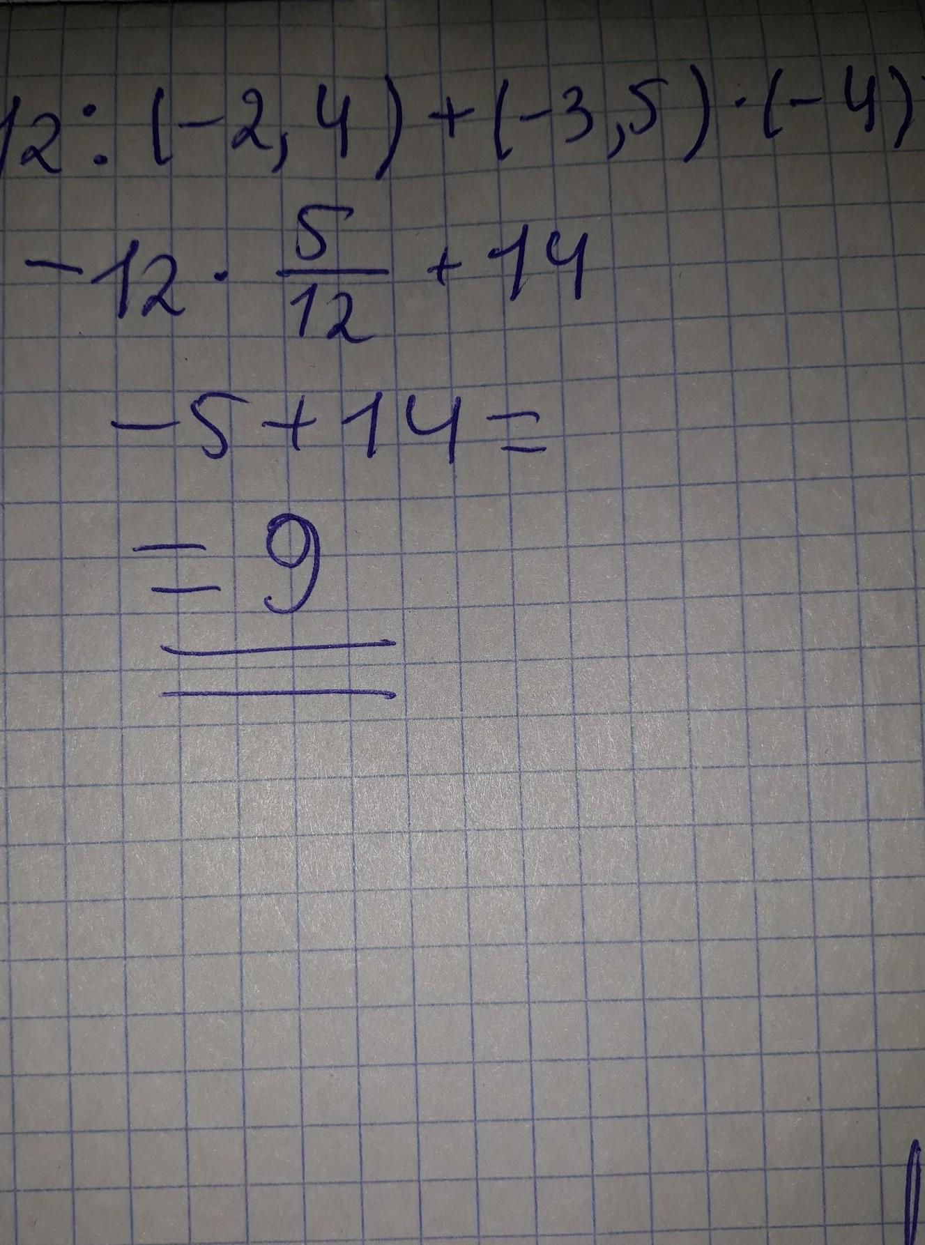
1) 12:(-2,4)+(-3.5)*(-4)=

2) -0,65*4/13+1целая 2/3:5/9​

Ответы

Ответ дал: rubyrose1999
0

Пошаговое объяснение:

вот так надо решить ответ 9

Приложения:

Аноним: а 2
Аноним: пример
Вас заинтересует