• Предмет: Алгебра
  • Автор: humannick
  • Вопрос задан 2 года назад

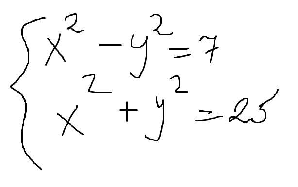
Решить систему уравнений

Приложения:

Ответы

Ответ дал: mmb1
1

x² - y² = 7

x² + y² = 25

сложим оба

x² - y² + x² + y² = 25 + 7

2x² = 32

x² = 16

1. x1 = 4

16 - y² = 7

y² = 9

y1 = 3

y2 = -3

2. x2 = -4

16 - y² = 7

y² = 9

y3 = 3

y4 = -3

ответ (4, -3) (4, 3) (-4, -3) (-4, 3)

Вас заинтересует