• Предмет: Химия
  • Автор: МатематическийМозг
  • Вопрос задан 2 года назад

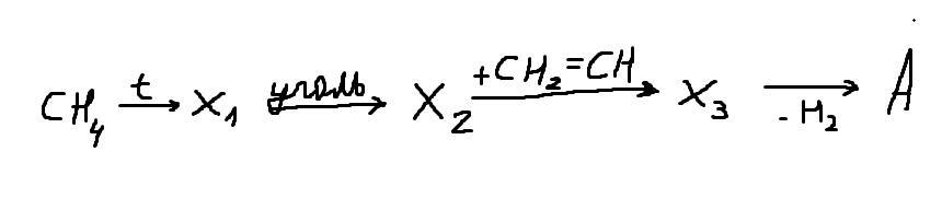
Найдите А. Условия в приложении.

Приложения:

Ответы

Ответ дал: Diktator0565
0

Ответ:

C6H6CH3

Объяснение:

2CH4-C2H2+2H2

3C2H2-C6H6(Бензол)

С6H6 +C2H3 (alcl3)- C6H6ch2

Вас заинтересует