• Предмет: Математика
  • Автор: Конфетка99
  • Вопрос задан 2 года назад

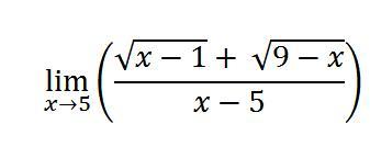
Вычислите предел функции

Приложения:

Ответы

Ответ дал: fytyrama345
0

Ответ:

oo

Пошаговое объяснение:

lim x->5 (√(x-1) + √(9-x)/(x-5)

Подставим 5

(√4 + √4)/0

4/0 = oo

Следовательно предел равен oo

Вас заинтересует