• Предмет: Алгебра
  • Автор: yuiusagi
  • Вопрос задан 2 года назад

Решить примеры:
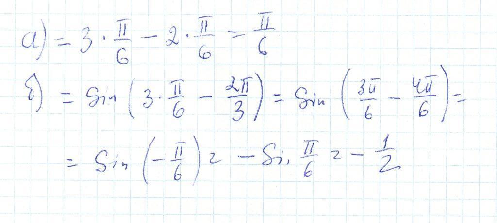
а) 3arcsin 1/2 - 2cosctg корней из трёх
б) sin (3 ctg корень из трёх - arccos (-1/2))


Аноним: 3arcsin 1/2 - 2cosctg корней из трёх ОШИБКА?
Аноним: может быть 3arcsin 1/2 - 2arcctg корней из трёх?
yuiusagi: Да
yuiusagi: 2arcctg

Ответы

Ответ дал: Аноним
1

Ответ:

п/6

-1/2

Объяснение:

Приложения:
Вас заинтересует