• Предмет: Алгебра
  • Автор: Nosent
  • Вопрос задан 2 года назад

Срочно надо!!!!!!!!!!!!!!!!!!!!!!

Приложения:

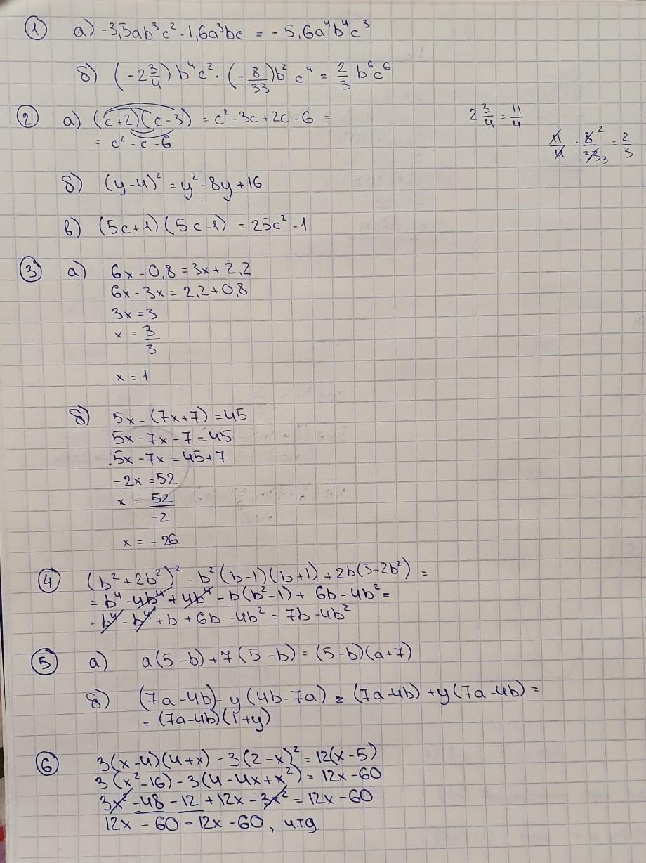
Ответы

Ответ дал: aausol
1

Ответ:

смотри фотографию

Объяснение:

смотри фттографию

Приложения:
Вас заинтересует