• Предмет: Математика
  • Автор: seitmuratovanazym
  • Вопрос задан 2 года назад

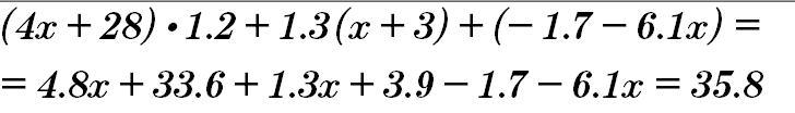
Алгебралық өрнекпен берілген тепе-тендікті далелденіз:

(4х+28)×1,2+1,3×(х+3)+(-1,7-6,1х)=35,8​

Приложения:

Ответы

Ответ дал: Аноним
26

Ответ:

Пошаговое объяснение:

-------------------------

Приложения:
Вас заинтересует