• Предмет: Алгебра
  • Автор: evievalds
  • Вопрос задан 2 года назад

Вычислите корни 8 класс

Приложения:

Ответы

Ответ дал: gonsalessreg
1

Ответ:

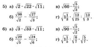
√2 * √22 * √11 = √2 * √(11*2) * √11 = √2 * √2 * √11 * √11 = 2 * 11 = 22

√98 / √2   -   √27 / √3 = √49 * √2 / √2 - √9 * √3 / √3 = (сокращаем √2 в первом слагаемом и √3 во втором слагаемом) = √49 - √9 = 7 - 3 = 4

√60 * √5 / √3 = (раскладываем √60 в √3 * √5 * √4) = √3 *√5 * √4 * √5 / √3 = (переставляем местами множители) = √3 / √3 * √4 * √5 * √5 = 1 * 2 * 5 = 10

\sqrt[]{1\frac{1}{3}} * \sqrt{\frac{13}{25}} : \sqrt{\frac{13}{3}} = \\\sqrt[]{\frac{4}{3}} * \sqrt{\frac{13}{25}} * \sqrt{\frac{3}{13}} = \\\sqrt[]{\frac{4}{3} * \frac{13}{25} * \frac{3}{13}} = \\\sqrt[]{\frac{4}{25}} = \\\\\frac{2}{5}

√3 * √33 * √11 = √3 * √(11*3) * √11 = √3 * √3 * √11 * √11 = 3 * 11 = 33

\frac{\sqrt{20}}{\sqrt{5}} - \frac{\sqrt{24}}{\sqrt{6}} =\\\sqrt{\frac{20}{5}} - \sqrt{\frac{24}{6}} = \\\sqrt{4} - \sqrt{4} = 0

√90 * √5 / √2 = (раскладываем √90 в √9 * √5 * √2) = √9 *√5 * √2 * √5 / √2 = (переставляем местами множители) = √2 / √2 * √4 * √5 * √5 = 2 * 5 = 10

последний - сам :)

Объяснение:


evievalds: объяснение не отображается
Вас заинтересует