• Предмет: Алгебра
  • Автор: evievalds
  • Вопрос задан 2 года назад

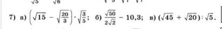
Вычислите корни 8 класс

Приложения:

Ответы

Ответ дал: egirlIl
0

Ответ смотри на фото

Приложения:
Вас заинтересует