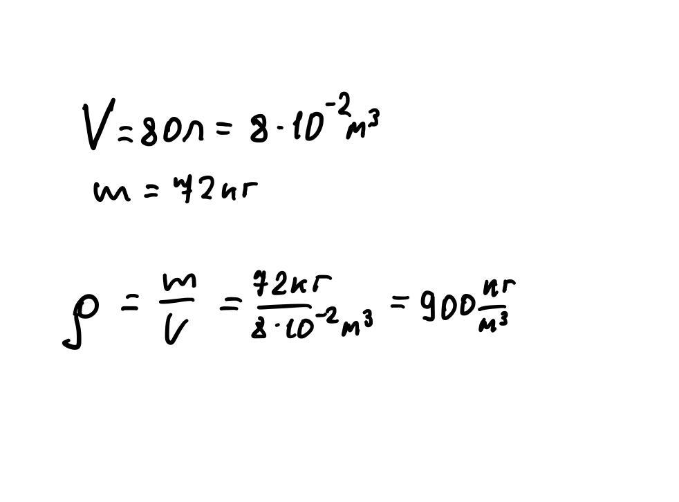
определите плотность жидкости , если её масса 72кг , а объём 80л
(Скажите пожалуйста если не сложно)
Ответы
Ответ дал:
1
900 килограмм на метр кубический
Приложения:

Вас заинтересует
1 год назад
1 год назад
1 год назад
3 года назад
8 лет назад