• Предмет: Алгебра
  • Автор: xxxtentacion20819191
  • Вопрос задан 2 года назад

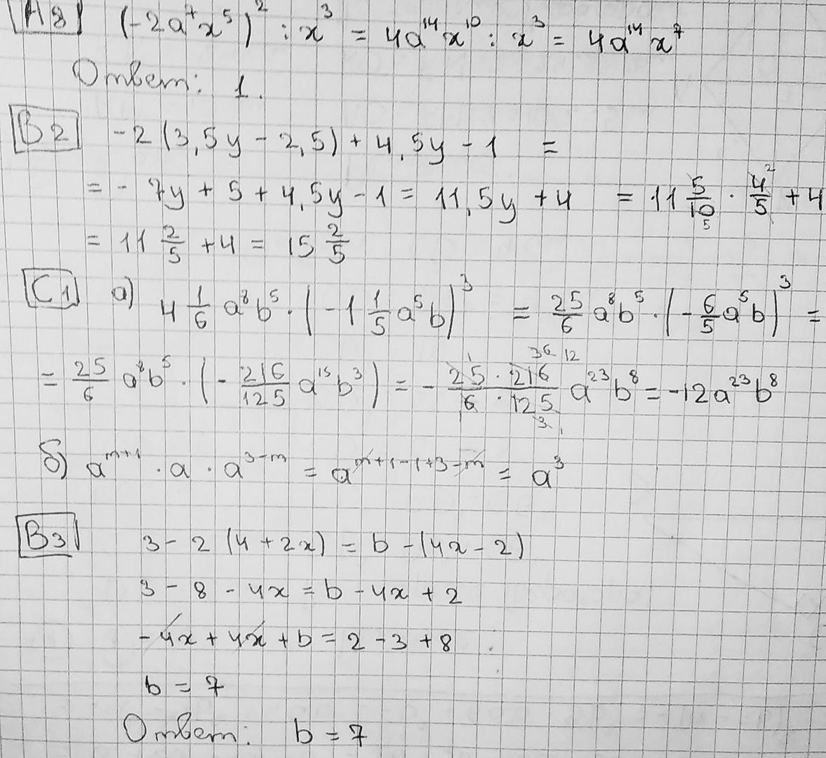
решите пожалуйста А8, В2, В3,С1​

Приложения:

Ответы

Ответ дал: PowerMilk
2

Всё на фото, смотри там в разном порядке (сразу извини за качество)

Приложения:

xxxtentacion20819191: спасибо
xxxtentacion20819191: братан , посчитал С1 и у тебя к сожалению неправильно
Вас заинтересует