• Предмет: Физика
  • Автор: wandiet
  • Вопрос задан 2 года назад


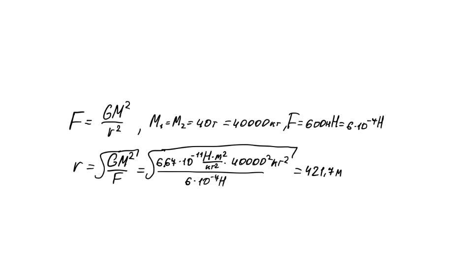
на каком расстоянии
находится тела массами по 40т если сила всемирного тяготения между ними 600нН?​

Ответы

Ответ дал: bergalium
1
421.7 метров.............
Приложения:
Вас заинтересует