• Предмет: Математика
  • Автор: obilovabdulbasit
  • Вопрос задан 2 года назад

Деление в столбик (15) баллов
Люблю вас ☺☺☺​

Приложения:

obilovabdulbasit: блииииииин
obilovabdulbasit: плииииииииииизь

Ответы

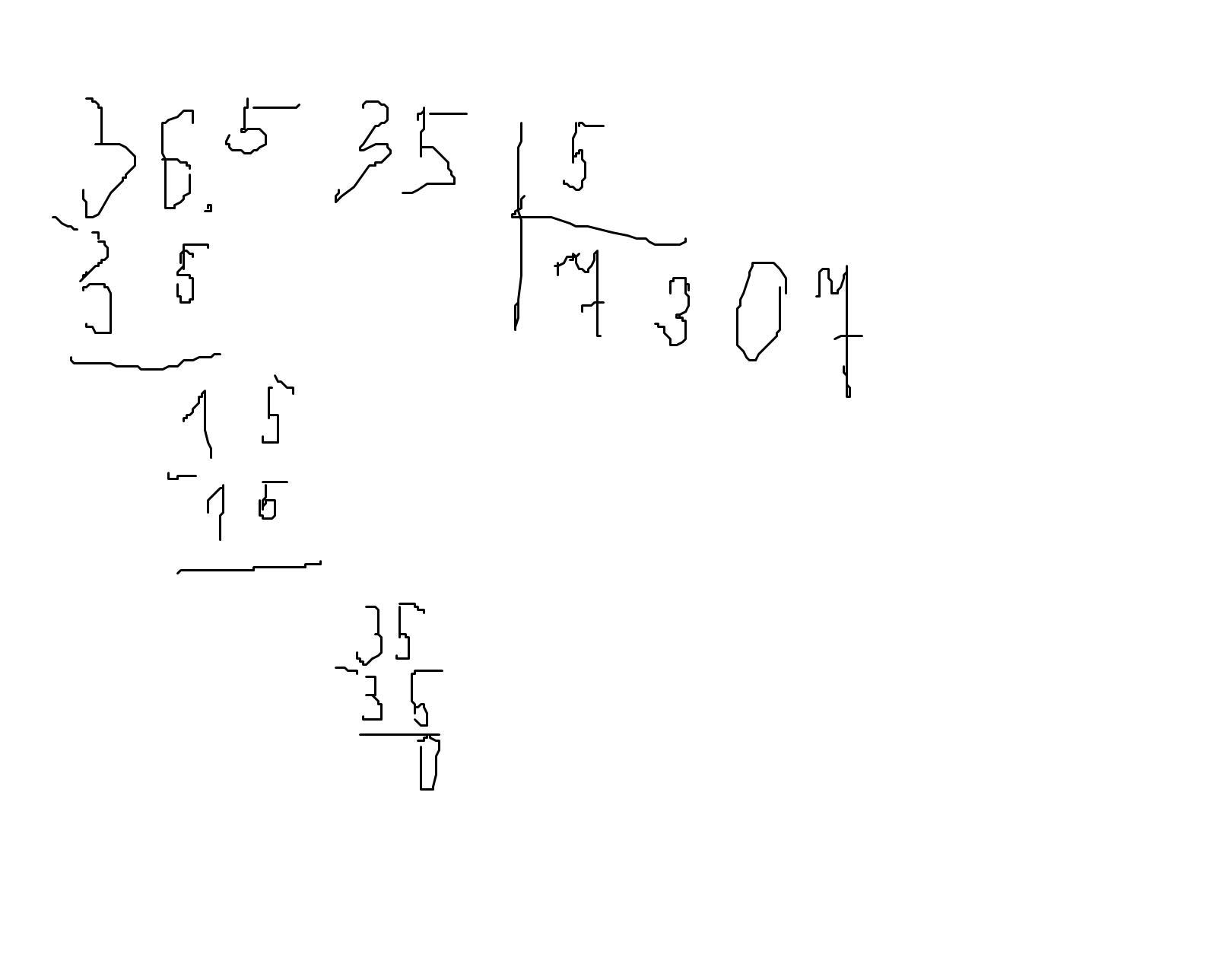
Ответ дал: mingalyevbekzat
1

1. 10412

2. 20619

3. 3213

4. 7307


obilovabdulbasit: а можно со всеми цифрами а не только ответ
markmarkeivan: у меня написано
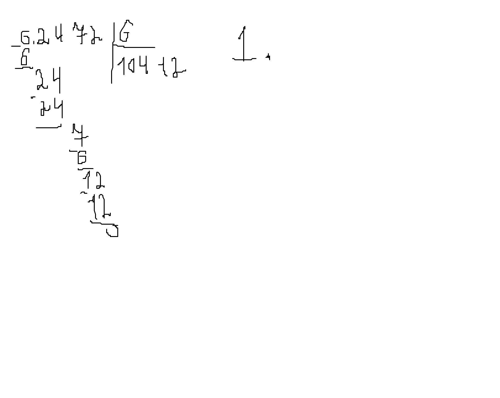
Ответ дал: markmarkeivan
1

вот держи если не понятно отвечу где какая цифра

Приложения:
Вас заинтересует