• Предмет: Алгебра
  • Автор: mykarkarlch79
  • Вопрос задан 2 года назад

сос помогитеееее не понимаююююю​

Приложения:

Ответы

Ответ дал: mmb1
0

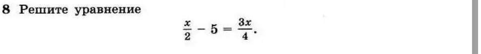
x/2 - 5 = 3x/4

приводим к общему знаменателю или все умножаем на 4

2x - 20 = 3x

x = -20

Вас заинтересует