• Предмет: Алгебра
  • Автор: hfhdhzb
  • Вопрос задан 2 года назад

решите пожалуйста!!​

Приложения:

Ответы

Ответ дал: elzab1377
1

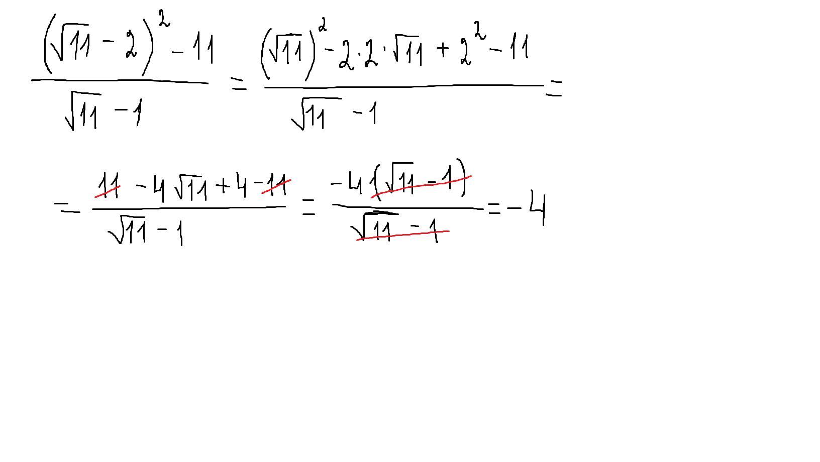
Ответ: надеюсь я правильно решила

Удачи

Объяснение:

Приложения:
Ответ дал: parus77
1

Ответ:

-4

Объяснение:

решение внизу

Приложения:
Вас заинтересует