• Предмет: Физика
  • Автор: Atapin
  • Вопрос задан 2 года назад

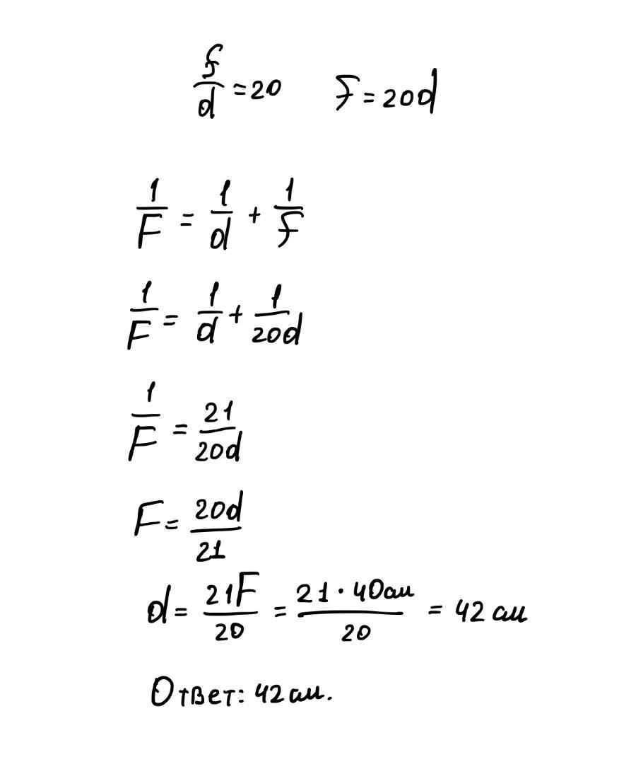
За допомогою збиральної лінзи отримали зображення предмета. збільшене в 20 разів. На якій відстані від лінзи розташований предмет, якщо фокусна відстань лінзи 40 см?

Ответы

Ответ дал: bergalium
46
Вот...........................
Приложения:
Вас заинтересует