• Предмет: Алгебра
  • Автор: whitegir1
  • Вопрос задан 2 года назад

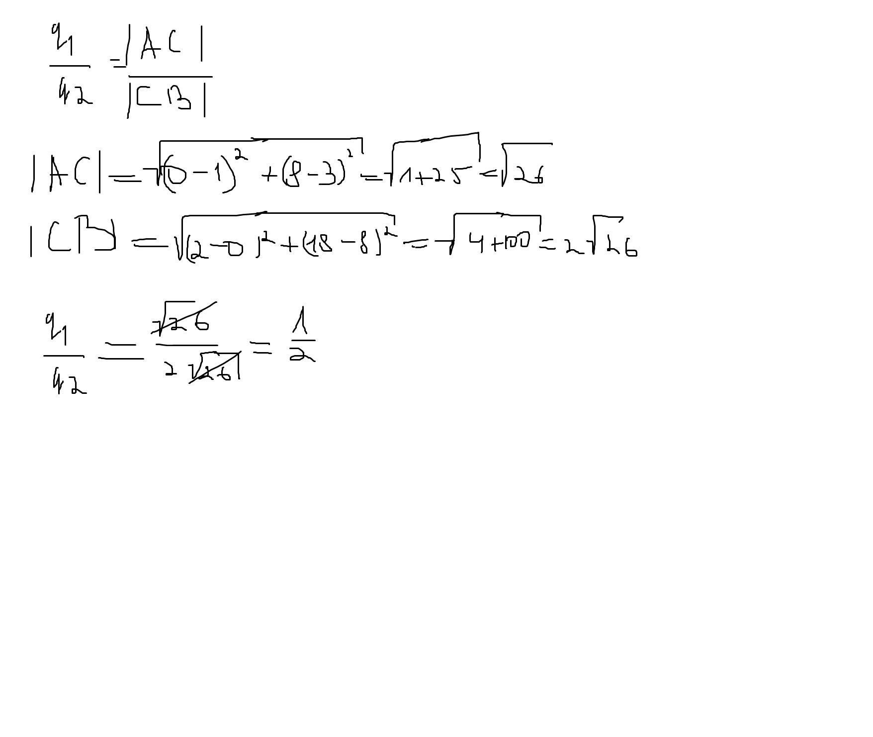
Найти отношение q1/q2 в котором точка С(0;8) делит отрезок АВ, если А(-1;3) и В(2:18).

Ответы

Ответ дал: matematikL
1

Ответ:

Объяснение:

вот и все

Приложения:
Вас заинтересует
2 года назад