Ответы
Ответ дал:
2
Ответ:
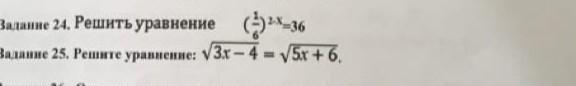
решение представлено на фото
Приложения:

Вас заинтересует
1 год назад
1 год назад
8 лет назад