• Предмет: Алгебра
  • Автор: Лера565656
  • Вопрос задан 2 года назад

30 БАЛЛОВ!! СРОЧНО!!​

Приложения:

Ответы

Ответ дал: minutocka
0

Объяснение:

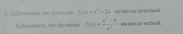
По определению, функция нечетна, если

1) область  определения симметрична относительно 0,

   т. е  вместе с любым х, области определения принадлежит и -х

2) f(-x)=-f(x)

Область определения данной функции (-∞;+∞) удовлетворяет 1)

2) f(-x)=3·(-x)³-2·(-x)=-3x³+2x=-(3x³-2x)=-f(x)

Доказано, функция нечетна по определению

Подробнее - на Znanija.com - https://znanija.com/task/7972125#readmore

Вас заинтересует