• Предмет: Математика
  • Автор: vlad200226
  • Вопрос задан 2 года назад

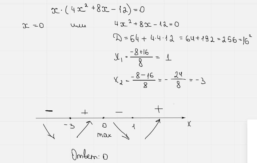
найдите точку максимума функции​

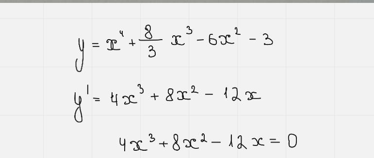
Приложения:

Ответы

Ответ дал: bodunova94
0

Ответ: Нужно найти сначала производную функции, потом приравнять производную к нулю и найти нулю производной.

Пошаговое объяснение:

На координатной прямой посмотреть, как ведет себя производная на разных отрезках. Там где переход с плюса на минус и будет точка максимума

Приложения:
Вас заинтересует