• Предмет: Алгебра
  • Автор: tihaya214567
  • Вопрос задан 2 года назад

Помогите пожалуйста. Только подробно. Даю 50 баллов.

Приложения:

Ответы

Ответ дал: Аноним
1

Ответ:

Объяснение:

----------------------

Приложения:
Ответ дал: tupoydaun01
0

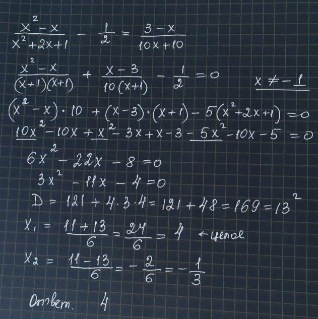
Ответ: 4.

Объяснение:

 \frac{x^2-x}{x^2+2x+1} - \frac{1}{2} = \frac{3-x}{10x+10}\\ \frac{x^2-x}{(x+1)^2} - \frac{1}{2} - \frac{3-x}{10(x+1)} = 0\\ \frac{(x^2-x)*10}{10(x+1)^2} - \frac{5(x+1)^2}{10(x+1)^2} + \frac{(x-3)(x+1)}{10(x+1)^2} = 0\\ \frac{10x^2-10x-5x^2-10x-5+x^2-2x-3}{10(x+1)^2} = 0;\\x \neq -1;\\ 6x^2-22x-8 = 0\\3x^2-11x-4 = 0\\D = 121+ 48 = 169;\\x = \frac{11-\sqrt{169}}{6} = -\frac{1}{3};\\x = \frac{11+\sqrt{169}}{6} = 4;

Вас заинтересует