Ответы
Ответ дал:
0
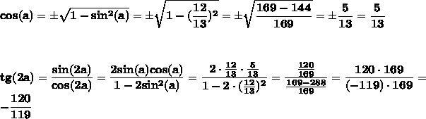
Решение прикреплено отдельным файлом
Приложения:

matskela:
Оно обрезанно?
Вас заинтересует
1 год назад
1 год назад
3 года назад
3 года назад
8 лет назад