Ответы
Ответ дал:
0
надеюсь,все понятно:)
Приложения:
Ответ дал:
0
спасибо большое )
Ответ дал:
0
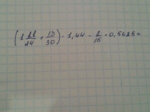
35./24+13/30=(35*5+11*4)/120=(175+44)/120=219/120
219*1.44/120=219*0.6/5=131.4/5=2.628
8/15 *0.5625=8*0.0375=0.3
2.628-0.3=2.328
219*1.44/120=219*0.6/5=131.4/5=2.628
8/15 *0.5625=8*0.0375=0.3
2.628-0.3=2.328
Приложения:
Вас заинтересует
3 года назад
3 года назад
8 лет назад
8 лет назад
11 лет назад
11 лет назад