• Предмет: Алгебра
  • Автор: yonari7030
  • Вопрос задан 2 года назад

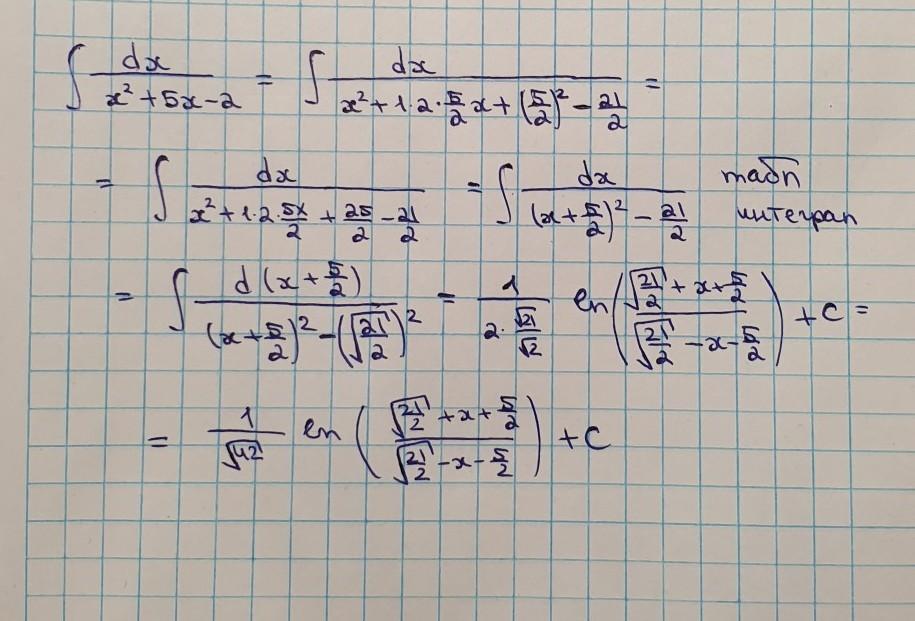
Алгебра.

Объясните как решить вот такой интеграл, пожалуйста
Я разобрался спс что помогли нет

Приложения:

Ответы

Ответ дал: Miroslava227
0

Ответ:

решение на фотографии

Приложения:
Вас заинтересует