50 баллов. Правильный, расписанный ответ, пожалуйста.
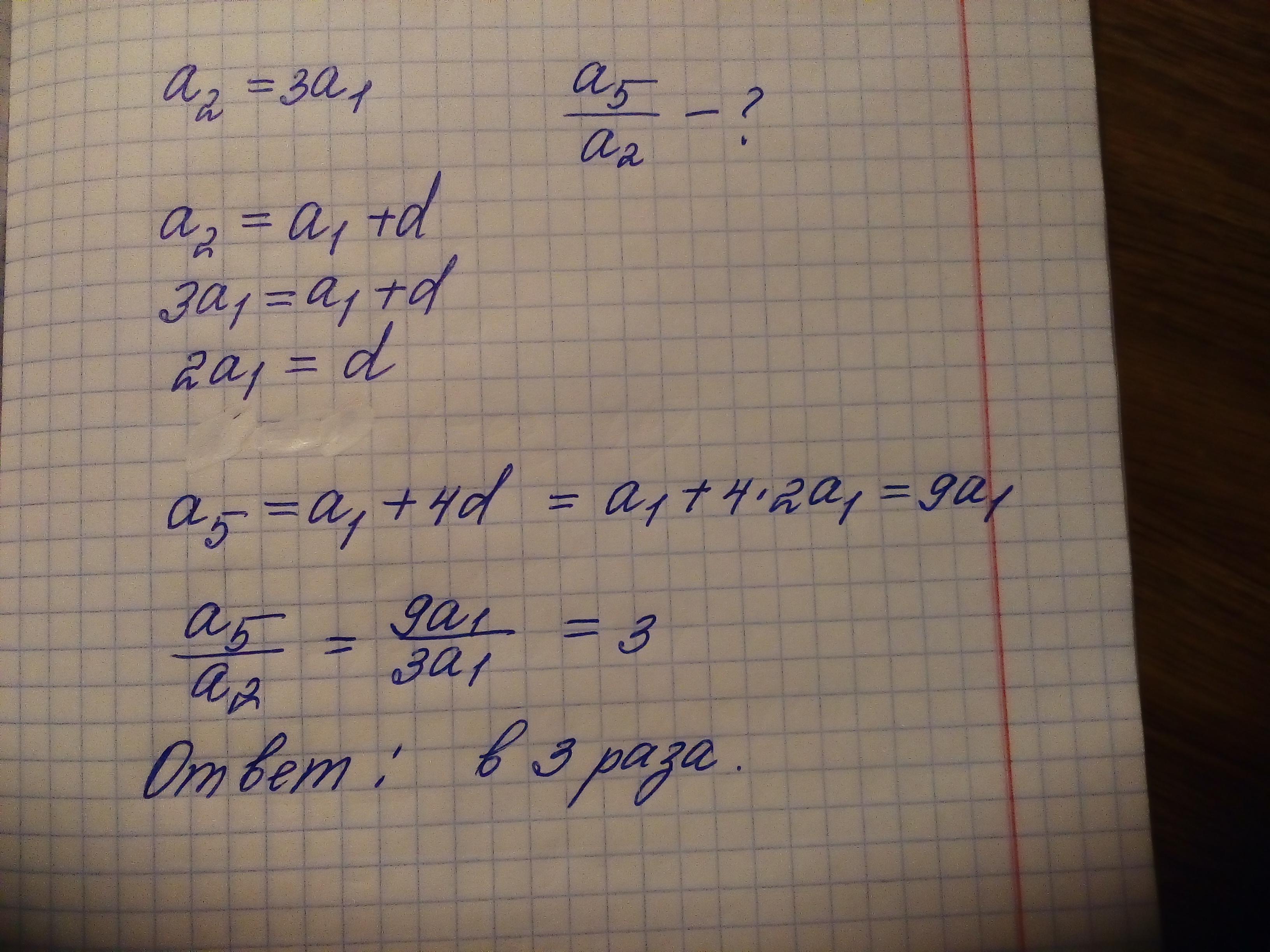
Второй член арифметической прогрессии в 3 раза больше, чем первый. Определите, во сколько раз пятый член этой же прогрессии больше, чем второй.
Ответы
Ответ дал:
4
Ответ:
Объяснение:
!!!!!!!!!!!!!!!!!!!!!!!!!
Приложения:

AAETCCRSE:
Это точно правильно?
Вас заинтересует
1 год назад
3 года назад
3 года назад
8 лет назад