Ответы
Ответ дал:
1
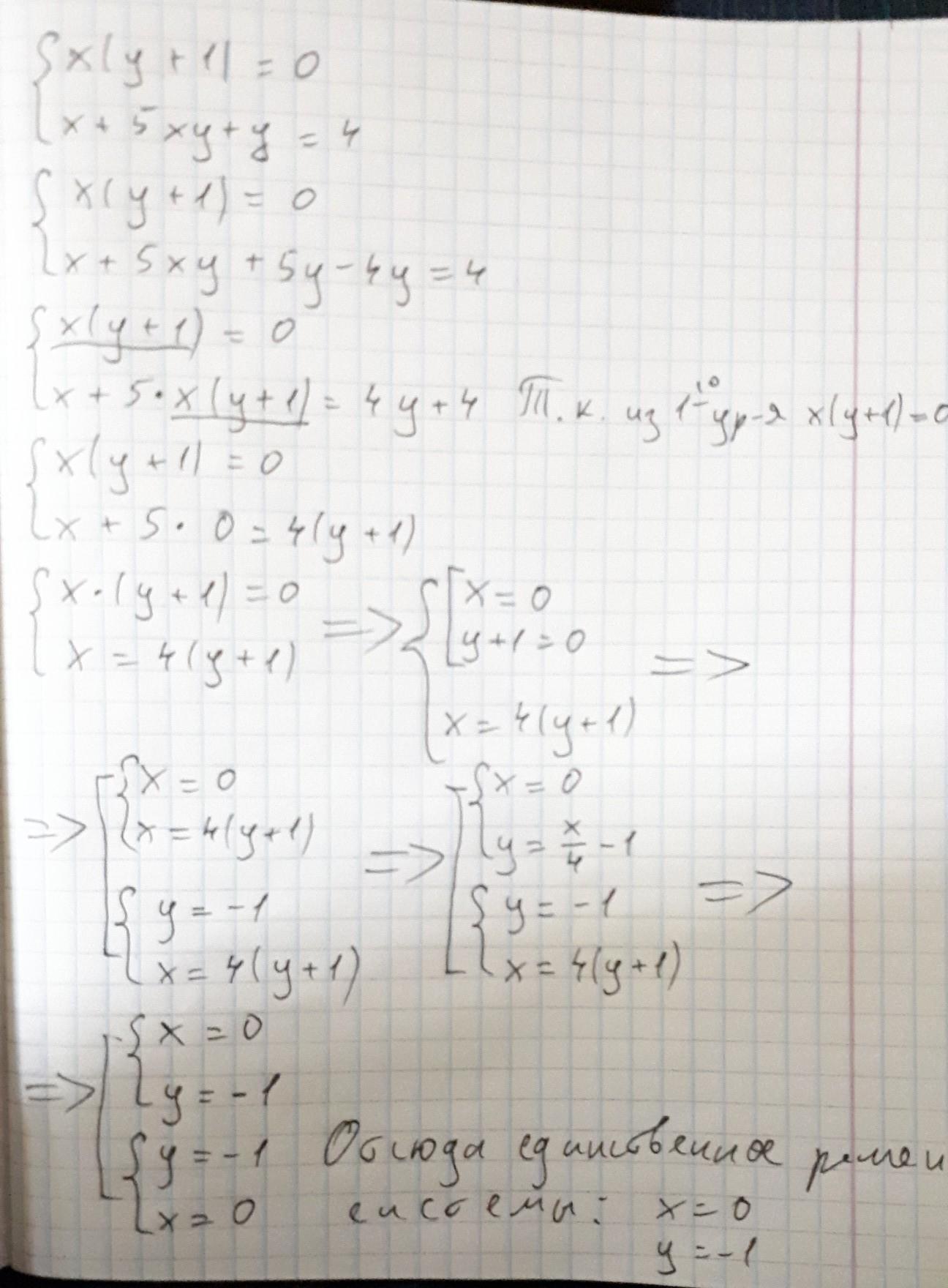
Ответ:
Решением системы будет
х = 0;
у = -1
Пошаговое объяснение:
См. в приложенном файле.
Приложения:

Вас заинтересует
1 год назад
1 год назад
1 год назад
1 год назад
3 года назад
8 лет назад