• Предмет: Алгебра
  • Автор: djshfksdf
  • Вопрос задан 2 года назад

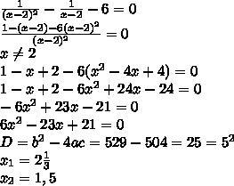
Объясните пошагово, какие действия выполнялись в этом уравнении.

Приложения:

Ответы

Ответ дал: mmb1
0

ну так решать .... это сложно

приводят к общему знаменателю

затем приводят общие члены

решают квадратное уравнение

и корни получают

решать надо через замену !!!

1/(x-2)² - 1/(x-2) - 6= 0

одз x≠2

1/(x-2) = t

t² - t - 6 = 0

D = b² - 4ac = 1 + 24 = 25

t12 = (1 +- 5)/2 = 3    -2

1. t = 3

1/(x - 2) = 3

3x - 6 = 1

x = 7/3 = 2  1/3

2. t = -2

1/(x - 2) = -2

1 = 4 - 2x

x = 3/2 = 1  1/2

ответ 7/3    3/2

Вас заинтересует