• Предмет: Математика
  • Автор: ilnuribragimov812199
  • Вопрос задан 2 года назад

Пожалуйста, помогите решить пример! Не могу разобраться, нужна ваша помощь

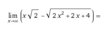
Приложения:

Ответы

Ответ дал: Vasily1975
1

Ответ: -√2/2.

Пошаговое объяснение:

Имеем здесь неопределённость вида ∞-∞. Чтобы избавиться от неё, умножим числитель и знаменатель на выражение x*√2+√(2*x²+2*x+4). В результате получим дробь (-2*x-4)/[x*√2+√(2*x²+2*x+4)]. Разделив числитель и знаменатель на x, получим выражение (-2-4/x)/[√2+√(2+2/x+4/x²)]. Очевидно, что при x⇒∞ числитель стремится к -2, а знаменатель - к √2+√2=2*√2. Поэтому искомый предел равен -2/(2*√2)=-1/√2=-√2/2.

Вас заинтересует