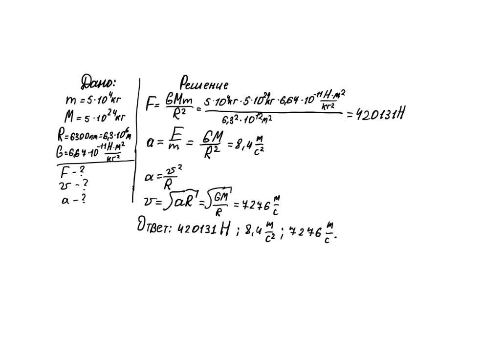
Дано:
m=5•10e4кг
Mземля=5•10е24кг
Rземля=6300км
G=6,67•10e-11
Нужно найти:
F(всемирного тяготения)-?
V(скорость)-?
a(ускорение)-?
Ответы
Ответ дал:
1
Вот..................
Приложения:

Вас заинтересует
1 год назад
1 год назад
1 год назад
1 год назад
3 года назад
3 года назад
8 лет назад
8 лет назад