• Предмет: Математика
  • Автор: aligator26021997
  • Вопрос задан 2 года назад

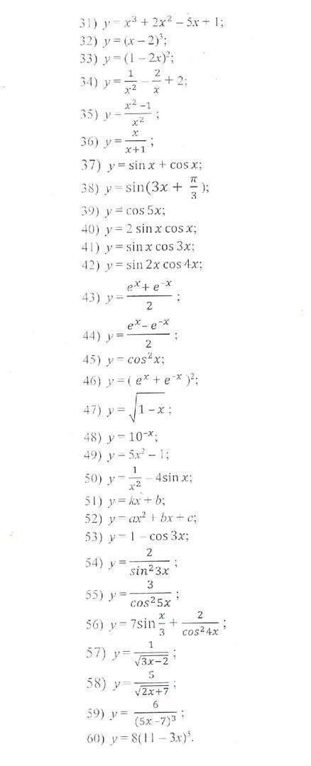
Найдите первообразную

Приложения:

Ответы

Ответ дал: sepilovasofia933
1

Ответ:подожди ща

Пошаговое объяснение:


aligator26021997: ок
Вас заинтересует