• Предмет: Математика
  • Автор: Аноним
  • Вопрос задан 2 года назад

помогите пж даю 30 баллов​

Приложения:

Ответы

Ответ дал: dildora72polvanova
1

Ответ:

сложите все стороны a+b+c

Пошаговое объяснение:

  1. 1/6+1 3/8+3 2/3=5 3/24 сокращаем и 5 1/8

dildora72polvanova: ой точнее 5 целых 3/24
Аноним: а как ты сложил? а общий знаменатель не нашёл!!!
dildora72polvanova: общий знаменатель тут будет 24 ну да если хотите то получится опять 1/8
dildora72polvanova: 5целых 1/8
dildora72polvanova: если сократить
Аноним: ну!
Аноним: а что не сократил?
dildora72polvanova: я забыла!
dildora72polvanova: ну сократите я думаю не сложно
Ответ дал: Аноним
2

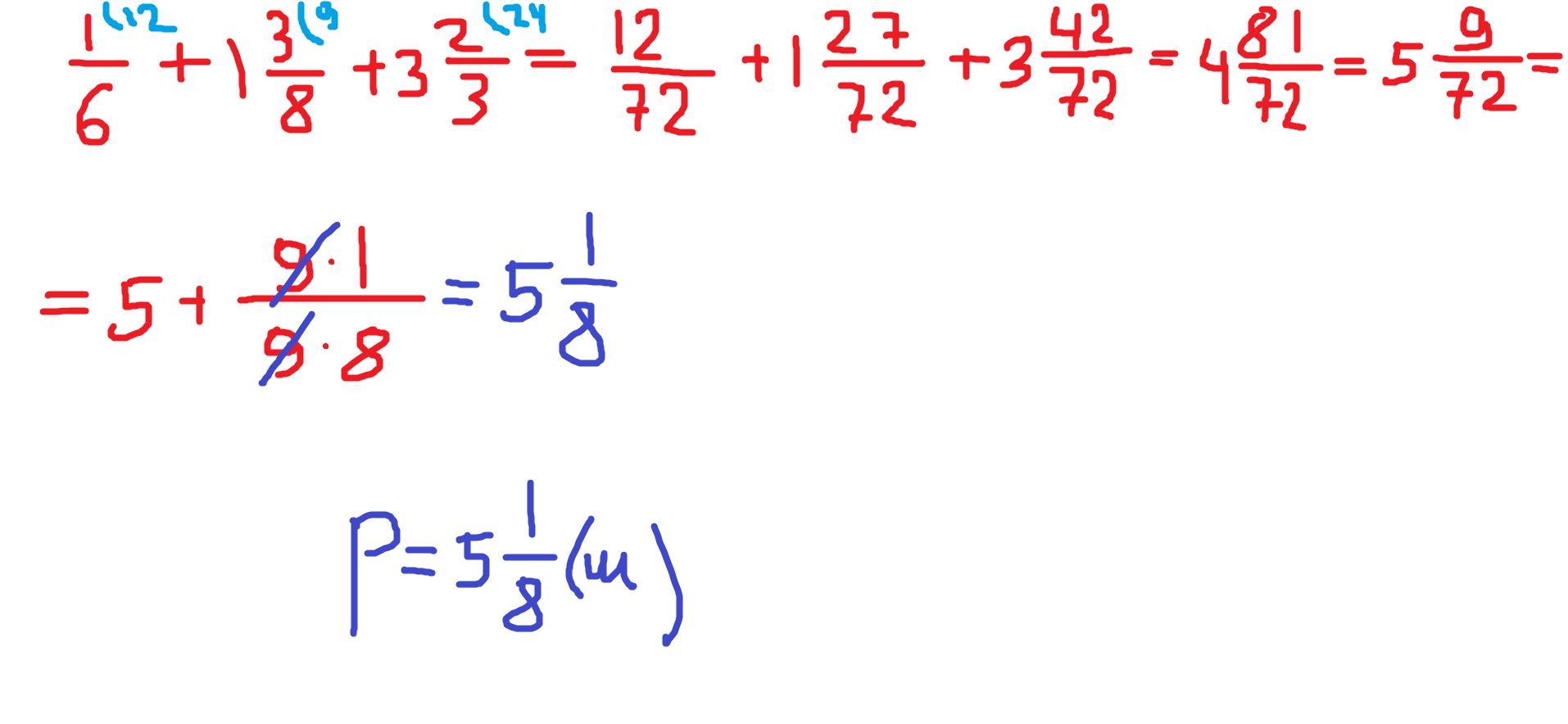
Ответ:  1/6+1 3/8+3 2/3= 5 1/8

P= 5 1/8 (м)

удачи!

Пошаговое объяснение: P=a+b+c

Приложения:

Аноним: пожалуйста!
Аноним: ой а знаменатель можно и 24 только ответ другой гм?
dildora72polvanova: почему это получится 5 цел.3/24 сократить 5 цел.1/8
dildora72polvanova: и 6 и 3 и 8 делится на 24
Аноним: ну!
Аноним: я просто знаменатель взял 72
dildora72polvanova: ну ответ один и тот же
Аноним: это не нарушение?
dildora72polvanova: вой блин .... нет наверно
Аноним: а почему проверенный?
Вас заинтересует