• Предмет: Математика
  • Автор: artemsestialtynov903
  • Вопрос задан 2 года назад

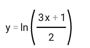
найти произодную (срочно)​

Приложения:

Ответы

Ответ дал: vlad5748
1

Ответ:

y'=[ln\frac{3x+1}{2} ]'=\frac{2}{3x+1}*(\frac{3x+1}{2})'=\frac{1}{3x+1}*(3x+1)'=\frac{3}{3x+1}

Пошаговое объяснение:

Вас заинтересует