• Предмет: Алгебра
  • Автор: lobar7072
  • Вопрос задан 2 года назад

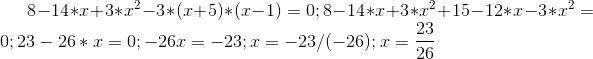
решить уравнение (3x-2)(x-4)-3(x+5)(x-1)=0
помогитеее​

Ответы

Ответ дал: vkarinav
1

Ответ: 3х сокращается как взаимообратное

Объяснение:

Приложения:
Ответ дал: keeperforsciense50
0

Ответ:

Объяснение:

Все во вложении

Приложения:
Вас заинтересует